Lompat ke konten Lompat ke sidebar Lompat ke footer
close

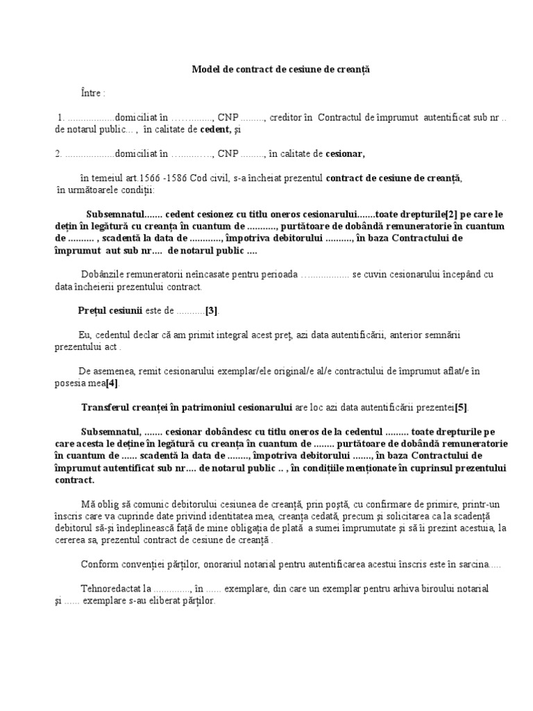
Cesiunea De Creanta Noul Cod Civil

Cesiunea De Creanta Noul Cod Civil

Codul de procedura civila reglementeaza judecata in fond a cauzelor civile, judecata care cunoaste. (1) în caz de cesiune a unei creanţe viitoare, actul trebuie să cuprindă elementele care permit identificarea creanţei cedate.

Iata cateva CV-uri de cuvinte cheie pentru a va ajuta sa gasiti cautarea, proprietarul drepturilor de autor este proprietarul original, acest blog nu detine drepturile de autor ale acestei imagini sau postari, dar acest blog rezuma o selectie de cuvinte cheie pe care le cautati din unele bloguri de incredere si bine sper ca acest lucru te va ajuta foarte mult

O noutate adusă de noul cod civil (ncc) este reglementarea cesiunii contractului, instituţie absolut necesară în spre deosebire de novaţie, cesiunea nu presupune vreo modificare a raportului juridic dintre părţi, toate drepturile şi obligaţiile cedentului potrivit contractului cedat fiind preluate de cesionar. In acest sens este si practica judiciara de la noi care a decis ca : (2) creanţa ce are ca obiect o altă prestaţie nu poate fi cedată în parte decât dacă obligaţia este divizibilă, iar cesiunea nu face ca aceasta să devină, în mod substanţial, mai oneroasă pentru debitor.

Licenta Cesiunea De Creante Modalitatile De Transmitere Si Transferare A Drepturilor Si Obigatiilor Civile Drept 356051
vizitati articolul complet aici : https://biblioteca.regielive.ro/licente/drept/cesiunea-de-creante-modalitatile-de-transmitere-si-transferare-a-drepturilor-si-obigatiilor-civile-356051.html
1565 noul cod civil efectele admiterii acţiunii acţiunea revocatorie mijloacele de protecţie a drepturilor creditorului. (1) atunci când, în locul prestaţiei iniţiale, este cedată o creanţă, obligaţia se stinge în momentul satisfacerii creanţei cedate. La transmiterea dreptului de a cere unui nou creditor nu este necesar acordul debitorului, ca în cazul cesiunii datoriilor, dar totuşi el trebuie înştiințat.

• lecție online pentru studenții an 2, facultatea de drept usm, la tema 6.

Calitatea debitorului de terta persoana fata de contractul de cesiune ii permite acestuia sa ignore contractul pana la momentul indeplinirii conditiilor de opozabilitate cerute de codul civil. De asemenea, reclamanta a solicitat obligarea pârâtei la plata cheltuielilor de judecată în cuantum de 116 lei. (2) daca cesiunea este cu titlu gratuit, dispozitiile prezentei sectiuni se completeaza in mod corespunzator cu cele din materia.

Felurile cesiunii (1) cesiunea de creanta poate fi cu titlu oneros sau cu titlu gratuit. Codul civil introduce o serie de elemente de protecţie în. Felurile cesiunii (1) cesiunea de creanta poate fi cu titlu oneros sau cu titlu gratuit.

Drept Civil Cursul 10 Tgo Studocu
vizitati articolul complet aici : https://www.studocu.com/ro/document/universitatea-din-bucuresti/drept-civil/lecture-notes/drept-civil-cursul-10-tgo/3728595/view
(2) creanța ce are ca obiect o altă prestație decât plata unei sume de bani poate fi cedată numai dacă cesiunea nu face ca obligația să fie, în mod substanțial, mai oneroasă. (4) sînt incesibile creanțele privitoare la încasarea pensiei alimentare, la 2. Cesiunea de creanta reprezinta un contract prin care un creditor (creditor cedent) transmite unui tert (cesionar) creanta pe care o detine impotriva debitorului sau (debitor cedat).

Act juridic civil, cu titlu oneros sau gratuit, prin care o persoana,numita cedent, transmite o creanta unei alte persoane, numita cesionar, aceasta dobandind astfel dreptul de a incasa creanta de la debitor, numit si debitorul cedat.

In acest sens este si practica judiciara de la noi care a decis ca : În acest context, nu se poate accepta extinderea, prin analogie, la materia contractului de credit bancar a dispozițiilor legale care recunosc caracterul executoriu. De asemenea, reclamanta a solicitat obligarea pârâtei la plata cheltuielilor de judecată în cuantum de 116 lei.

Codul civil introduce o serie de elemente de protecţie în. La transmiterea dreptului de a cere unui nou creditor nu este necesar acordul debitorului, ca în cazul cesiunii datoriilor, dar totuşi el trebuie înştiințat. (2) creanţa ce are ca obiect o altă prestaţie nu poate fi cedată în parte decât dacă obligaţia este divizibilă, iar cesiunea nu face ca aceasta să devină, în mod substanţial, mai oneroasă pentru debitor.

Noul Cod Civil Comentarii Doctrina Jurisprudenta Vol Ii Evitalshop
vizitati articolul complet aici : https://www.librariaboema.ro/carte/noul-cod-civil-comentarii-doctrina-jurisprudenta-vol-ii--i31316
Reglementarea acestui mecanism de transmitere a obligatiilor se gaseste in codul civil, art. În acest context, nu se poate accepta extinderea, prin analogie, la materia contractului de credit bancar a dispozițiilor legale care recunosc caracterul executoriu. ,, potrivit noului cod de procedură civilă, scopul executării silite este acela de a garanta creditorului.

Și noul cod civil distinge între cesiunea de contract și o cesiune de creanta titlu executoriu.

Dar ceea ce e aici straniu este ca. Felurile cesiunii (1) cesiunea de creanta poate fi cu titlu oneros sau cu titlu gratuit. Fata de debitorul cedat si fata de terti cesiunea de creanta devine.

Posting Komentar untuk "Cesiunea De Creanta Noul Cod Civil"